Menu
Write a review
File a complaint
Guaranty Bank Profile

Guaranty Bank

www.guarantybank.com

Learn how the rating is calculated

3.6

Overall reputation rating based on reviews and complaints

Guaranty Bank has an overall reputation rating of 3.6/5 based on 1 reviews and 14 complaints, indicating that the majority of customers are satisfied with banking services.

Claim Your Business
Take control of your profile: address complaints and engage with reviews
Write a review File a complaint

Latest Reviews and Complaints

ComplaintsBoard
M
4:03 am UTC
Verified customer The reviewer confirmed their account using Google. Learn more
New review

Guaranty Bank Ask for a breakdown printed by the bank! Not the online ledger. You will see how much they are stealing

Don't look at the online ledger of your accounts, (loans) as it is not an accurate picture. Guaranty Bank engaged in a series of deliberate, unethical, and potentially illegal actions that have had a severe impact on our financial stability, creditworthiness. Through a systematic pattern of misrepresentation, coercion, misappropriation of funds, refusals, numerous delays, negligent processing, vague information, secretly moving our money without authorization, and deceptive trade; : The bank systematically denied our repeated requests for detailed breakdowns of our accounts. It took numerous formal requests over 5 months, before we were given even a single breakdown, further indicating a pattern of financial obfuscation designed to restrict customers ability to challenge their actions. This refusal was compounded by their subsequent actions:

Recommendation: DO NOT USE THIS BANK

Read full review
Hide full review
ComplaintsBoard
C
12:05 pm UTC
Verified customer This complaint was posted by a verified customer. Learn more

Guaranty Bank Guaranty Bank will keep your money hostage if you leave the Midwest

This bank has the most horrible costumer service! Do not bank with guarenty bank! If you ever decide to bank with this for-profit company, never leave the midwest because they will keep your money hostage. I banked with them for 10 years and didn't have an issue until I left the state. I moved to the west coast and notified the bank in person, twice, that I was traveling through certain states. They both penciled it down but I doubt they did anything about it. I broke down in south dakota, no vehicle, and stranded in a small town. I needed most of my money out my account to leave and they refused to allow me to withdraw my money from out-of-state. I was forced to use my credit card and had to pay a hefty fee. It was biting nails trying to have the very empathetic "guarenty" bank to give me my money over the phone. They were also very rude and overall mean to me for even wanting my money... This bank really cares for one thing, to cover their # with fraud and keep your money as tight as they can. Even cancelling my account with them was a pain stacking process... Please bank with a credit union... They are more helpful, community based, and not-for-profit.

Read full complaint and 2 comments
Update by Christine.B.
Jun 09, 2015 9:38 am UTC

*CORRECTION* (Madison, Wisconsin not Alabama) I didn't have an issue until I left. This is the whole point of telling the bank in person on multiple occasions I was traveling through certain states and moving to a certain state. They didn't note this on my record when requested, and when an emergency happened, they only said I had to get my withdraws in person! This is impossible because I WAS OUT-OF -STATE obviously! Again, this was MY MONEY that they refused to give me access to when requested and falsely insured I would before I left.

Hide full review
2 comments
Add a comment
T
T
The Truth You Must Know
Toronto, CA
Send a message
Jun 09, 2015 11:05 am UTC

You don't seem to have answered my question though - If their policies were an issue, why did you agree to them and create your account?

T
T
The Truth You Must Know
Toronto, CA
Send a message
Jun 09, 2015 8:23 am UTC

They made their withdrawal policy to you perfectly clear before you opened your account. If it was an issue then, why did you open your account?

14 Guaranty Bank Complaints

ComplaintsBoard
J
2:40 pm UTC
Verified customer This complaint was posted by a verified customer. Learn more

Guaranty Bank mobile deposit

I don't even know where to begin-
Guaranty Bank is the most incompetent, poorly administered, and customer hostile bank I have ever had the displeasure to do business with. The only reason that I am still with this bank after closing my original branch (Aurora, IL) and then my next assigned branch (Bolingbrook, IL), and then my next assigned branch (Crest Hill) is that the personal bankers have been very helpful and, get this, NICE! and now I am on my way to a branch to get this totally cluster-F of a mobile deposit settled. They close branches and point to the supposed fantastic mobile app as the best way to do business with this POS bank- my check deposit was denied because of "A duplicate check was detected" this is absolute non-sense- I have reviewed the deposit on the mobile app and there is absolutely no way that this could ever be misconstrued as a duplicate check! and there is never any customer service followup to complaints- I HATE THIS BANK!

Read full complaint and 1 comment
Hide full review
1 comment
Add a comment
G
G
Gerald Mwenelupembe
Frisco, US
Send a message
Sep 16, 2008 5:03 pm UTC

You have taken $31.98 from my bank account without my permission. I need a refund ASAP.. I was given this number by your customer service person by the name of Kay Forbes and she said the confirmation code 2791947.
Please stop taking money in my account without my knowledge.
Gerald Mwenelupembe.

ComplaintsBoard
T
7:00 pm UTC
Resolved
The complaint has been investigated and resolved to the customer’s satisfaction.

Guaranty Bank Debit Overdraft Fees Even if Opted OUT !

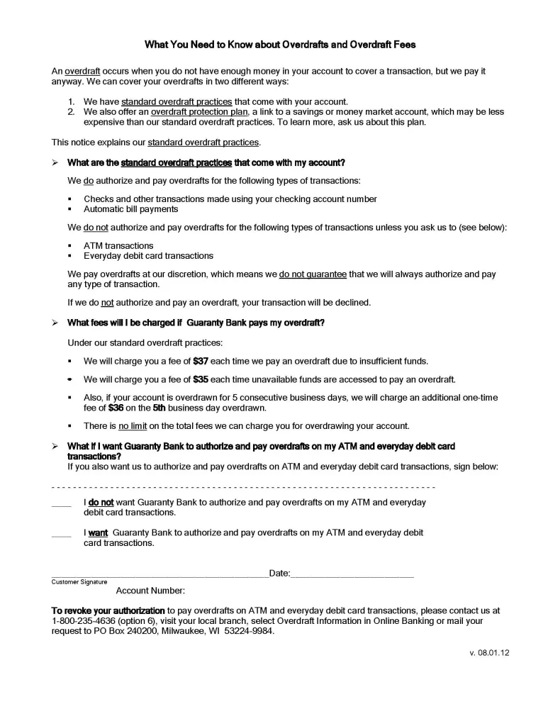
Be very careful if you make payments using your Guaranty Bank account or debit card information. Even if you opted out of their overdraft coverage they WILL NOT decline payments sending you into an overdaft situation, will charge you $37 each, and then send your account into a spiral for even more bounce fees. They are shysters just waiting to trap you by their terms. STAY FAR AWAY of Guaranty Bank no matter how convenient they or luring their promotions seem to be. Even their own staff are embarrassed by having to enforce the conniving shenanigans (legalized robbery) of their policies and terms.

Read full complaint
View 0 more photos
Resolved

The complaint has been investigated and resolved to the customer’s satisfaction.

Hide full review
ComplaintsBoard
M
11:24 am UTC
Resolved
The complaint has been investigated and resolved to the customer’s satisfaction.

Guaranty Bank Overdraft Charges

I wrote a check and an unexpected charge came in from a website. I was $3.00 over and didn't know it. They sent the check back and paid the $3.00. I made a deposit the next day to cover the check and their $27.00 fee. The check cleared that day. I had an extra $25.00 in my account. Without any notification, the place I wrote the check too, billed my account $30.00. Guaranty Bank didn't pay it and charged me another $27.00. I had no knowledge of what their returned check fee was. They could have have charged $50.00 and I wouldn't know it. By the time I realized what had happened, 10 days passed and Guaranty Bank charged me $28.00 each day my account was minus. I was all of a sudden -$282.00. I didn't know that the Bank charged $28.00 a day for 14 days. It used to be $8.00. I called the bank as soon as I realized what happened and complained that I was never notified of any of this. They told me that I should call for my account balance everyday. I have banked there for the last 30 years and never had a problem like this. I keep the balance in my checkbook and was always notified if there was a problem. I get paid once a month and didn't have the money to put in for another 5 days. So I got charged for 4 more days. Now I was -$394.00. My check was automatically deposited and I was in the black. And guess what happened? 15 days later the $30.00 charge came in again, and I got charged $27.00 again. It all started over again at $28.00 a day. I finally called them a bunch of robbers and stopped the automatic deposits. I had given them more than $700.00 in 1 + 1/2 months. I am still minus and have refused to give them any more money. I couldn't afford to feed my family and said I'll be damned if I starve while they steal money. And we the taxpayers have to bail out the Banks? Welcome to the 21st century and Obama!
A former Guaranty Banker

Read full complaint
Resolved

The complaint has been investigated and resolved to the customer’s satisfaction.

Hide full review

Is Guaranty Bank Legit?

Guaranty Bank earns a trustworthiness rating of 82%

Highly reliable. Use their services with confidence, yet trust but verify.

Our conclusion: ComplaintsBoard highly recommends Guaranty Bank for their strong reputation and reliability. However, it's still wise to weigh the pros and cons and research thoroughly, even if Guaranty Bank seems completely reliable.

We found clear and detailed contact information for Guaranty Bank. The company provides a physical address, 3 phone numbers, and 2 emails, as well as social media account. This demonstrates a commitment to customer service and transparency, which is a positive sign for building trust with customers.

By resolving 71% of 14 negative reviews, Guaranty Bank is demonstrating its dedication to customer satisfaction and effectively addressing customer issues. While there may still be some practical problems that need to be addressed, such as long wait times or unhelpful responses.

However ComplaintsBoard has detected that:

  • There was some difficulty in evaluating or examining the information or data present on the guarantybank.com. This could be due to technical issues, limited access, or website may be temporarily down for maintenance or experiencing technical difficulties.
  • Guarantybank.com has relatively low traffic compared to other websites, it could be due to a niche focus, but could also indicate a potential lack of traffic and popularity. The guarantybank.com may offer a niche product or service that is only of interest to a smaller audience.
ComplaintsBoard
S
11:09 am UTC
Resolved
The complaint has been investigated and resolved to the customer’s satisfaction.

Guaranty Bank Fees and Incompetence

I had been banking with Guaranty Bank for the past 3 years. Everything was fine until I married my Wife last year in April. Ever since then it was just awful.

We wanted to set up a joint bank account and to have her have her own personal checking account. We opened the accounts and ordered the cards. The joint account cards came in just fine, but her personal account was taking longer than usual. We actually waited for 2 months before going in to see what the matter was.

The manager at the Eagan location told us that the cards are still being shipped and I should receive it by next week. We stop by 2 weeks later and he tells me that it was delivered. I told him we still don't have a card, to which he responded that to order another card it'd be another $5 to send one out. I wanted everything to be done with, so I agreed and ordered new ones. The new card came in, by it took another month and a half to receive it. The only catch is they got her last name incorrect (She hyphenated her last name).

We came back to mention the wrong name, but now they were telling us she doesn't have an open account due to inactivity. We couldn't use the account in the first place because we didn't have a card! They didn't want to refund the little money we had in the account (We put in the minimum of $25 or so). I should've left at that point, but we opened another checking account under her name.

A month and a half later, everything was fine, she had her card (Still with the wrong last name), we were hopefully done. That is until we noticed she was getting charged for "Returned Mail" (IE: Junk Mail). I've been receiving mail this entire time without a problem. We both have the same address, so it shouldn't be a problem. We approached the manager at the Savage location about the charges and she refunded us back. She double checked the addresses and they were the same.

Some time later I went to set up online bill pay so I can easily pay off my credit card (not with the bank). When I set that up, everything was "okay" until I saw that payments were refused. I tried through the credit card's bill pay and guaranty's bill pay. Neither worked. I found out that my personal checking account number was incorrect for the online bill pay. I was on the phone for 2 hours with Guaranty to figure out that I had to call up the online bill pay company that handles all payment for Guaranty to get this fixed. That company said that it was Guaranty that was in the wrong. A week later and my credit card bill still unpaid, we found out it was something that could've been done at the Guaranty Bank location (I got the helpful manager from Savage again).

The final straw was when I started to get more charges of "Returned Mail" on my wife's account AND my joint account. I went to close my accounts at the Savage location. Before I closed them, I forgot to check to see if my check with my apartment and electric bill had been cashed. The manager there (Same lady and all) said "I see two payments in, everything should be okay!" Oh it was not okay at all.

I received a letter from my apartment complex when I got back from Easter Weekend (which so happened to be the same time as my Anniversary with my Wife. Plus preparing myself for an upcoming interview for a promotion) about the check not going through. So I was charged an additional 8% for rent, $30 for the insufficient bounced check, and I had to get a money order for $3 to pay my rent. The electric I didn't want to have shut off so I had to call in, and got charged a $3 "Convenience" fee (It was all automated) to pay over the phone.

In total I've been charged a total of nearly $150 because I was banking with Guaranty Bank. It is not worth your time, effort, or money to bank with them. I'm just going to stick with the big banks in hopes I don't get too screwed over.

Read full complaint
Resolved

The complaint has been investigated and resolved to the customer’s satisfaction.

Hide full review
ComplaintsBoard
G
9:15 am UTC
Resolved
The complaint has been investigated and resolved to the customer’s satisfaction.

Guaranty Bank OVERDRAFT FEE OF $198.00 ON NEGATIVE $.68

They charges me a $2.50 fee on top of the $3.00 fee to use my debit card more then twice in one month causing my checking account to be overdrawn 68 cents. And now thay have charged me $198.00 in overdraft charges!

Read full complaint and 4 comments
Resolved

The complaint has been investigated and resolved to the customer’s satisfaction.

Hide full review
4 comments
Add a comment
S
S
SonOfDad
Parlin, US
Send a message
Aug 03, 2012 7:58 am UTC

trolls

S
S
SonOfDad
Parlin, US
Send a message
Aug 03, 2012 7:57 am UTC

No reviews eh toyota.. just join this site to give the OP's grief..

E
E
Efllkin
Parlin, US
Send a message
Jul 28, 2012 7:48 pm UTC

Good comment FGB. A lot of these trolls on this site seem to side with the banks regardless of whose to blame. It's nice to see helpful comments on here.

C
C
Compl Guaranty Bank
Maplewood, US
Send a message
Jul 28, 2012 7:23 pm UTC

Toyotafan123 Shut the f*** up. This person probably makes payroll deposits every 2 weeks keeping this poor as bank in business and charging them $198.0 for a 68 cent overdraft charge is ABSOLUTELY absurd. I know your stupid ### has probably overdrafted from a bank before and you should be ashamed of yourself for that comment. GTFOH

ComplaintsBoard
M
4:36 am UTC
Resolved
The complaint has been investigated and resolved to the customer’s satisfaction.

Guaranty Bank Possibly lllegal and certainly unethical fees

Keep in mind that even if you do opt out of "courtesy overdraft service" there are still circumstances where the bank can still charge a fee for transactions made with you card. Here's my horror story about Guaranty Bank of Wisconsin: I had a payment through Paypal with my Visa check card that was wrongly coded as reoccurring even though I had not authorized it. They did not have my account number so it was a pin-less debit transaction using my Visa number. It overdrew my account by $6.00. As I was not expecting any transactions on my account I was not logging in to check my balance. By the time I got the letter from my bank it had been several business days. At that point in time after 3 business days the bank began charging $10 per day in addition to the initial $37 fee. When I got the letter my account was already -$93. They agreed to reverse the initial $37 fee but I still could not deposit enough to stop the $10/day charges from building up. I reached the maximum period of 10 business days for the daily fee. Paypal reversed the initial charge that caused the overdraft because it was made in error. I called Guaranty Bank back to see about having the daily fees reversed also because I had opted out of overdraft service for debit card transactions and now I had Paypal verifying that it was not supposed to be a preauthorized reoccurring charge. It should not have occurred at all and was wrongly coded so that instead of just being declined it caused a fee. Along with the refund of the erroneous transaction that PayPal deposited back in my account the fee reversal would have made my balance positive. They said that because the $37 was refunded they were not able to reverse the $100 in daily overdrawn account fees. A manager said that he tried, but their system would not allow him to do it. By this point I had opened an account at a new bank that I am happy with and switched my Social Security Disability to that bank for Direct Deposit, so I left the Guaranty checking account alone. A couple small direct deposits of SSI for my disabled daughter that were still going to that account would have brought the balance (about -$96) up above zero within the 43 business days that they allow before closing the account and charging another $50 fee. I left it set to go to that account for another month to pay off the fees before I closed the account. They would not let me close it with a negative balance and I did not have enough to spare that month to pay it off in full. I had maxed out the days they charged the daily fee for, shut down my check card, and was no longer using the account. There would be no new transactions so I did not expect any more fees. What I did not realize was that they just changed their overdraft policy towards the end of February so that they now charge $28 per day that an account is overdrawn (instead of a per-overdraft fee +$10/day for 10 day max after the 3rd day like they had), up to 14 business days and beginning on the first day that an account has a negative balance. They began charging me this on the first day the new policy went into effect (even though their overdraft policies in effect when the initial overdraft occurred indicated that I had reached the maximum length of time for consecutive day overdrawn account charges) so the $125 deposit will not be enough to bring the balance up. The new policy going into effect has caused another $392 in fees (14 days at $28/day) and I can not afford to put another $363 into the account to bring the balance to zero before the account is closed and the $50 closing fee is added. I just cancelled the direct deposit and let them close the account. By the end the transaction that caused a $6 overdraft that should not have been processed at all and was refunded by the merchant along with the initial overdraft fee for that transaction still resulted in $492 in fees plus another $50 for account closure for a total of $542 in fees

Read full complaint and 3 comments
Resolved

The complaint has been investigated and resolved to the customer’s satisfaction.

Hide full review
3 comments
Add a comment
L
L
lilkekewatkins2009
Frankfort, US
Send a message
Oct 04, 2009 8:58 pm UTC

2898182

M
M
MikeAnthony
Delavan, US
Send a message
May 23, 2012 7:40 am UTC

I had a very similar experience today. I got the letter four days after the fact and was charged $28 for all four days. I am filing an unethical banking practice and I hope you do too.

L
L
lilkekewatkins2009
Frankfort, US
Send a message
Oct 04, 2009 9:02 pm UTC

false statements said to have enrolled in an undisclosed program and took $33.98 from my account.

ComplaintsBoard
T
1:26 pm UTC

Guaranty Bank Don't have any income and these people stealing from me

I checked my account today, and notice that $49.90 had been taken from my account. this took me into a over draft now i have to pay $49.50 plus $37.00 over draft fee, my account is right at $80.00 negative. who are these people and how are they getting into people bank accounts. I'm PISSED! Off work with a back injury, dont have any income and these people stealing from me.

Read full complaint and 1 comment
Hide full review
1 comment
Add a comment
A
A
anyride
Milwaukee, US
Send a message
Aug 03, 2012 9:15 am UTC
Verified customer This complaint was posted by a verified customer. Learn more

they are nothing shy of crooks i got 500 over draft fees i taking my direct deposit to another bank was a customer for 10 years party is over now

ComplaintsBoard
D
11:01 pm UTC
Resolved
The complaint has been investigated and resolved to the customer’s satisfaction.

Guaranty Bank Fees

First of all they are great with the promises and why you should bank there
As we later found out this is not true but was told to my husband and myself as well as a referral client we have; the main lie and sales point they used with us was "if you have to buy something and don't have the funds it is ok as long as you get the funds in the account by closing, 7PM! not 3 like other banks our business day ends at 7 so if the funds get here by then you are fine." wow I though this was a great feature probably wont use it but nice anyway. Here is where everything can crashing on my account.
The breakdown is as follows
I had $57.44 and I had 2 pending check totalling $50 so lets start there. OK so my checks post as expected I had $7.44
Everything is great until a company I no longer do business with charged 2 payments of $29.97.
Off the bat I am hit with a $35 fee for my account available balance going negative. Instantly I noticed the error and contacted the company who issued a refund on both charges within 24hrs. and called the bank to see if I could get there by 7pm and add $60 until this gets straightened out.
Keep in mind what we had been told, if you get there by 7 everything is good; so I assumed if I rushed to the bank disaster could be avoided, I was told there was nothing to be done, that once a charge even if pending reflects the account and if it brings the available balance negative the $35 is accessed. I was told the fee is not reversible and I should have never been told that I can deposit the day of a charge, and "if" I was told this by a branch and had proof I was told this they can look into things, and at this point there is nothing I can do but wait.
The next day the charges had been refunded however my account sits in the hole because the bank has two charges of $37 one for each accidental charge that has now been refunded and my account reflects this refund as well as that $35 charge for bring the available balance negative.
So I called the bank again, ok the best option the have was to have a request sent to the head office so someone there can decide if the charges can be removed and my account can simply go back to its tiny $7.44, really this is all I want. but I was told this can take up to 3 business days.
Yesterday I check my account and see additional charges $8 each day for having a negative balance, total fees $35, $37, $37, and $8
Today I check, refund, not that great because the feel only a $37 refund is allowable, total fees $35, $37, $8 and $8, so I call to see what gives thinking maybe the agent I spoke with was unclear in the letter of what needs to be refunded, not the case the bank feels the error is a "merchant" issue and the company who first charged the two fees causing this downward spiral is at fault and they should refund my fees.
Now we are looking at a weekend and my guess is even though deposits can be made and I can reach anyone to fix these issues I will still be racking up my $8 a day fee.
Bottom Line: I understand bank fees however this is an error, it was corrected in 24hrs, the reality is the bank never lost money and I have 3 accounts with this bank and have been a good referring customer, I was not out buying anything I did not have funds for, and stop training your employees to say that you have until 7pm to add funds to an account if this is untrue, as mentioned I know multiple people told this and I clearly remember this as it truly was a sales point for me, don't tell someone that they have to prove that they were told this because that is just insulting.

Read full complaint and 1 comment
Resolved

The complaint has been investigated and resolved to the customer’s satisfaction.

Hide full review
1 comment
Add a comment
G
G
Guaranty ripoff victim
Nashville, US
Send a message
Nov 05, 2014 11:10 am UTC
Verified customer This complaint was posted by a verified customer. Learn more

My wife and I had a mortage with guaranty. Paid 10 days in advance but would not process the payment till after due date to collect late fees. Could never pay it early enough to avoid the charges. Unless you pay by phone which they would charge a 5.00 fee. We refinanced the mortage thru a different lender to get rid of them. They charged the other bank $30.00 to fax the pay off to them and sent us a bill for $15.00 for faxing it to the other bank thus getting paid twice for the same thing. They are con artist and predatory lenders.

ComplaintsBoard
S
11:50 am UTC
Resolved
The complaint has been investigated and resolved to the customer’s satisfaction.

Guaranty Bank Fees upon fees

Their fees are outrageous and their employees rude, condescending and dishonest. I had three accounts with this bank and I can honestly say, they are by far the worst bank I have ever banked with.
When I set up my accounts, I explained that I would like my savings and checking account linked together, so that money was transferred automatically from one account to another. No problem, they told me. There would be a $7 charge and I would receive notification of the transfer.
In December, I did not check my account, but hey, if I was overdrawn, they would inform me, right? Wrong. Eleven times in a five week period they transferred money from my savings to checking account, costing me a total of $77 and not one single notice.
I called customer service. They told me refunds were impossible. I asked to speak to the manager. I was told he could call me back in 2 to 3 business days. I insisted I could not wait around for days hoping for a phone call and eventually was connected to a rude and abrupt man. He told me "You signed the papers, so you should have read them first. Refunds are impossible" and that I should have kept better track of my account. Good point, but where was the promised notification?
I went into the local branch and complained and said that I had not been notified of the overdrafts. They insisted that I had received them and told me "You need to check your mail more thoroughly" I assured them that I had checked my mail and that I could not possibly have overlooked 11 notifications. They insisted I had.
They eventually said they would refund half the charges. They came close by refunding $35 of the $77. I let it rest and marked it down to experience.
Two weeks later, I received a notification of a further $30 in fees for overstepping the six-transfer rule on my savings account.
Again, I went into the bank and was told that I should not have misused my accounts the way I had. My argument was that they had been the ones transferring money without letting me know. The manager was rude, argumentative and continued to insist that I had received notification of each transfer from them.
I eventually gave up and closed out my accounts. While counting out my money, the manager told me that they would soon have the capability to notify me of overdrafts by text message. Did she really think that would make up for poor service, expensive charges and rude employees?
I will never go back to this bank again and would strongly advise against anyone banking there.

Read full complaint
Resolved

The complaint has been investigated and resolved to the customer’s satisfaction.

Hide full review
ComplaintsBoard
R
2:28 pm UTC
Resolved
The complaint has been investigated and resolved to the customer’s satisfaction.

Guaranty Bank FEES and Customer (So called) Service

I was recently charged "overdraft fees" on my account with Guaranty Bank. When sending in an email to customer service to request the fees to be removed, I simply recieve a canned response that this not possible. So I call into the customer service department after TWO rounds of being hung up on after over a 20 minute hold each time, I speak to Lakesha (not sure if that is spelled correctly).She was extremely rude, cutting me off as I spoke.What kind of customer service center do they run? I also called back to speak to a manager, spoke to a representative, young man with the same attitude and response He would not let me finish a sentance, its like they have the same response for every customer that calls.He proceeded to tell me there was nobody else there I could speak to. Being persistant, I FINALLY got a manager, who then ACTUALLY let me ask my question and explain my reasoning as to why I was requesting my HARD earned money back. But of course the same response, they are not able to refund me. No one there could explain to my why at my local branch I was told I could "contact corporate for a reversal"(as this was the only place who had the ability)and why they were telling me this was merely IMPOSSIBLE.And then to be told to ask for Leah's manager Shane who was not even in the office.WHAT A WASTE of TIME AND HARD EARNED MONEY!My personal opinion is that they need to screen for better help, people who sound more educated and considerate! I have never seen a company who has no reguard for a consumers financial stability as this!

Read full complaint and 5 comments
Resolved

The complaint has been investigated and resolved to the customer’s satisfaction.

Hide full review
5 comments
Add a comment
K
K
kittykitty2103
Tinley Park, US
Send a message
Jul 10, 2013 2:28 pm UTC

I couldn't even begin where to start with the horrible nightmare customer service received from this bank. Since opening the account as of Feb of 2013 I have not been able to get a single straight answer regarding any of the issues with the customer services reps! I opened the account with a bank deal of three direct deposits and so many card transactions in return of the bank depositing $75 to my account after I fulfilled my end of the bargain. Which I by far have done, I have spoken with reps about 20 times about this deposit over the past 3 months. Every time they told me the deposit was coming. Now I after all these months and misguided information they tell me they are not required to fulfill their end of the bargain. Due to some technicality from months ago. My question is "Where do your bankers go to school?" In three months time I have spoken to at least 15 of your "so called bankers" all which agreed the deposit would be coming and that I had fulfilled my end of the deal! Now suddenly months later I get a banker that claims they know what their talking about and I am not entitled to my promotional deal! This bank is a joke. They either are still incorrect or several people there don't deserve their job! Not to mention the sneaky way they hold on to three dollar checks and wait to resubmit it twice when the account is low! Or all the other misguided information regarding re-ordering debit cards. Tellers at the bank saying cards couldn't be ordered over the customer service line, when customer service line says they can. And don't even get me started on when the bank tellers told me to never call the lost or stolen number on the official bank web site! This is by far the worst bank experience I have ever had! I wouldn't recommend this bank ever to anyone! Now I'm contacting the Better Business Bureaus and filing a complaint! As a consumer and a customer I feel violated...I believe they all knew the whole time this was an issue and LIED to just have me keep my account open!

G
G
guaranty
Saint Paul, US
Send a message
Oct 30, 2013 10:05 am UTC

I went to bank to check on my 10yrs son savings account. I found money has was taken from( child, s saving account). Reason; I was told.( Return of mail). During discussion with bank I have found they were sending letters to an address where son and I never resided. I was told a change of address notice was not forwarded to bank. Response; why would that be done when myself/son never lived at address letter was sent to? I heard of my being custodial parent son pays taxes on account etc. The fact of the matter is the bank screwed up and stole a child, s money from account and can only replace $5.00. I have never received a letter from establishment to my residence of 5yrs. THEY SHOULD BE ASHAMED OF THEMSELVES Thank You, Timothy Vann St.Paul mn.

P
P
Plainfield, IL
Park Ridge, US
Send a message
Nov 02, 2011 7:12 pm UTC

My husband & I have been members of Guaranty Bank for 5 years. Yesterday we wen to the Bolinbrook, IL branch to deposit a check issued by the Illinois State Lottery Winnings. We previously deposit the same type of checks from winnings in 2009 (4) and 1 less than a month ago on September 28, 2011. He was told by the teller they have to verify the check by calling teh bank that issued the check or they can't deposit the check. this was the 1st time this has ever happen. I thought you could deposit a check, wait for it to be cleared by the issuing bank, then withdraw money if needed. They told us no because the lady teller told him she never knew anyone that won the lottery & they were issued a check the same day. I told her she need to go to the State of Illinois building on the 7th flr. and stand sit there for 10 minutes & watch people file their claim & receive a check. I called customer service while in the branch & they aknowledge we have direct deposit income to the account every 2 weeks, confirmed all the other lottery checks we deposit, and our good standing with the bank. She call the manager, and he told us he will hold the check for an undetermined amount of days until they can contact the other bank. He estimated the time at 15-20 days. The other teller told us they refuse to cash the check because we do most of our banking in the city at the other branch. The city branch confirmed who we were, talk to my husband & manager on the phone & the manager told him he didn't believe it was him after showing him his driver's license, credit card, debit card & verifying his identity with customer service. We left and went to PNC Bank wher I also bank at & they let him deposit the check into my account & it was cleared by PNC this morning. We will definitely stop bank with Guaranty Bank after this. They are rude, very unprofessional, & thought they could talk to me any kind of way. But they had a rude awakening, I cut them an a--hole from one end to the other. I will not be disrespected by anyone. "You don't have to like me, but you must respect me". Everyone please find another bank to put your money in. I DID.

I
I
iacat13
Mazomanie, US
Send a message
Jul 07, 2011 9:32 pm UTC

I had numerous situation with this bank unethically holding money in my account and then charging over draft fees. Guaranty bank also charges for any non-Guaranty Bank checking with drawl and to check your balance. Most of the staff are flat out rude and the reviews I've read from previous employees is that they have unethical policies that do not protect their customers OR employees. I closed my account at this bank and will continue to bank with Westbury Bank whom I've been with for 15 years. I trust my money in this bank and haven't had the same issues with this bank as I have had with Guaranty Bank.
My guess is that your account may have not actually been "over drawn"...example: I have $1200 in my account. I drop off a $90 check-balance is $1290. I write a check for $1250 that same day. The $1250 check clears but then there is a $35 over draft charge becuase they said they held the $90 check? But they never told me the check was held? This is how the scam works. They also hold payroll checks for 24+ hours. I feel bad for the working class that continue to bank with this institution. They are money hungry.

V
V
vicki2c
US
Send a message
Jun 27, 2011 8:38 pm UTC

Guaranty Bank: Branch manager Tanika Reed and teller Erica Perkins in the Forest Park are rude and very disrespectful. When customers walk away from the counter they speak about them in such a horrible manner and they call so many stupid and laugh at them I even heard the Branch manager yell at the tellers when she was the one to leave the place nasty and she was late for work, coming in at noon when she was suppose to be there at 9am. Somebody really needs to do something about their actions.

ComplaintsBoard
L
12:04 pm UTC
Resolved
The complaint has been investigated and resolved to the customer’s satisfaction.

Guaranty Bank Locking Small Business Account

They locked my entire business account because one of my clients gave me a check that bounced - and my available balance more than quadrupled the bounce check. I called Cust Serv (horrible)! She told me it was their Loss Prevention policy to lock the account and that they could not lock the account for just the amount of the check - so the whole account was locked. WTF? this actually makes sense to them?!

First, their technical incapabilities is not my fault - do not implement polices you can't enforce effectively. Second, Guaranty Bank should lock their own business account based off of one bad check and see how they're business is suppose to function - don't create policies you can't even live with. Third, how DARE YOU hold peoples money and decide if and when they can use it.

I'm so glad I didn't close my previous bank account since I was going to fully switch to Guaranty Bank. Crazy, what was I thinking!

Read full complaint
Resolved

The complaint has been investigated and resolved to the customer’s satisfaction.

Hide full review
ComplaintsBoard
J
11:54 am UTC
Resolved
The complaint has been investigated and resolved to the customer’s satisfaction.

Guaranty Bank Service and fees

EVERY SINGLE TIME THERE IS ANY TRANSACTION ON THIS ACCOUNT, I END UP GETTING CHARGED FEES - THIS LATEST ONE IS $125 WORTH - THEY POST A CHECK DEPOSITED TO MY ACCOUNT AND THEN CHARGE ME 5 TIMES, 25 EACH FOR USING IT - NOW SAYING - IT WASN'T AVAILABLE BECAUSE THEY WERE PROCESSING IT - WHEN IT CLEARLY LISTED AS AVAILABLE FUNDS ON LINE! WHO ENTERS IT INTO THE SYSTEM IF YOU ARE STILL PROCESSING IT? I HAVE HAD NOTHING BUT FEES AND HEADACHE SINCE THIS ACCOUNT WAS OPEN - I NEVER, EVER HAD THIS KIND OF STRESS FROM A BANK IN MY LIFE! THANK GOD THIS IS A SECOND ACCOUNT AND IT WONT MATTER TO MY LIFE WHEN I CLOSE IT - EXCEPT MAYBE I CAN KEEP MY HARD EARNED MONEY!

Read full complaint
Resolved

The complaint has been investigated and resolved to the customer’s satisfaction.

Hide full review
ComplaintsBoard
C
5:23 pm UTC
Verified customer This complaint was posted by a verified customer. Learn more

Guaranty Bank Fees Telephone

I was just going over my g-child's bank statement & found whence Guaranty Bank hit her for two $30 telephone service fees I DONT THINK SO! You freaking ###s, I will close that account down, and I will Pull my money out of there as well, PLUS I have two other family members willing to close their accounts I will be paying your bank a face to face visit & I EXPECT GUARANTY to refund that child's money! IMMEDIATELY, Everyone check your bank statements, the banks have more $$$$ than any of us do, so don't let them cheat you!

Read full complaint and 1 comment
Hide full review
1 comment
Add a comment
D
D
DWal89
Jordan, US
Send a message
Jun 23, 2011 9:29 pm UTC

You are confused and paranoid.

Guaranty Bank complaints: history and resolution overview

Guaranty Bank has received 14 complaints on ComplaintsBoard. The first reported case, Fees Telephone, was published on Apr 16, 2009, and the most recent complaint, Ask for a breakdown printed by the bank! Not the online ledger. You will see how much they are stealing, was posted on Jun 24, 2025.

Out of all reported cases, 10 complaints (71%) have been marked as resolved, while 4 complaints (29%) remain unresolved. The most recent resolved complaint, Debit Overdraft Fees Even if Opted OUT !, provides additional insight into how customer issues have been handled.

Customer feedback spans multiple years and reflects a range of user experiences. Reviewing complaint history and resolution outcomes may help users better understand the company’s track record and make more informed decisions.

👉  Submit a complaint about Guaranty Bank
Trust badge
Collect Your Trust Badge
Be recognized for outstanding customer service